Previous: Saturn Cycle and Conscientiousness
Books All books ▸ The Big Astrology Book of Research ▸ Machine Learning Classification

The Big Astrology Book of Research

  • Welcome Index Summary
  • How to use this book
  • Project 1
  • Introduction to project 1
  • Results of project 1
  • Birth pattern analysis
  • Temporal Patterns Visualization
  • analysis.py
  • analysis_results.csv
  • new_analysis_results.csv
  • process-data_moon_only.py
  • process_wealthy_moon.png
  • project1_longitudinal_results.csv
  • process_real_data.py
  • real_data_analysis_results.csv
  • real_data_moon_tithi_results.csv
  • wealthy_birthdata_v2.csv
  • wealthy_moon_analysis.csv
  • wealthy_moon_results.csv
  • Project 2
  • Introduction to project 2
  • Results of project 2
  • merged_data.csv
  • analysis.py
  • Advanced economic analysis
  • Polar cycle analysis
  • Polar economic cycle of Jupiter and Saturn
  • analysis_results_full.csv
  • analysis_results.csv
  • Jupiter to Neptune economic cycle
  • Jupiter to Uranus economic cycle
  • Jupiter to Pluto economic cycle
  • Mars to Jupiter economic cycle
  • Mars to Saturn economic cycle
  • Mars to Uranus economic cycle
  • Mars to Neptune economic cycle
  • Mars to Pluto economic cycle
  • Saturn to Uranus economic cycle
  • Saturn to Neptune economic cycle
  • Saturn to Pluto economic cycle
  • Uranus to Neptune economic cycle
  • Uranus to Pluto economic cycle
  • Neptune to Pluto economic cycle
  • Economic cycle looking at Mars only
  • Economic cycle looking at Jupiter only
  • Economic cycle looking at Saturn only
  • Economic cycle looking at Uranus only
  • Economic cycle looking at Neptune only
  • Economic cycle looking at Pluto only
  • Project 3
  • Introduction to project 3
  • Results of project 3
  • analysis.py
  • analysis_results.csv
  • clean_analysis_daily_metrics.csv
  • Clean lunar analysis nobias
  • nyc_daily_ed_visits.csv
  • process_nyc_data.py
  • Project 4
  • Introduction to project 4
  • Results of project 4
  • Geographic Analysis
  • analysis.py
  • analysis_results.py
  • Project 5
  • Introduction to project 5
  • Results of project 5
  • Retrograde Analysis
  • Retrograde Residuals
  • analysis.py
  • analysis_results.csv
  • analysis_results_clean.csv
  • clean_analysis_v2.py
  • Project 6
  • Introduction to project 6
  • Results of project 6
  • Harmonic Analysis
  • analysis.py
  • analysis_results.csv
  • celebrity_data.py
  • Project 7
  • Introduction to project 7
  • Results of project 7
  • Jupiter Cycle and Openness
  • Mars Cycle and Extroversion
  • Saturn Cycle and Conscientiousness
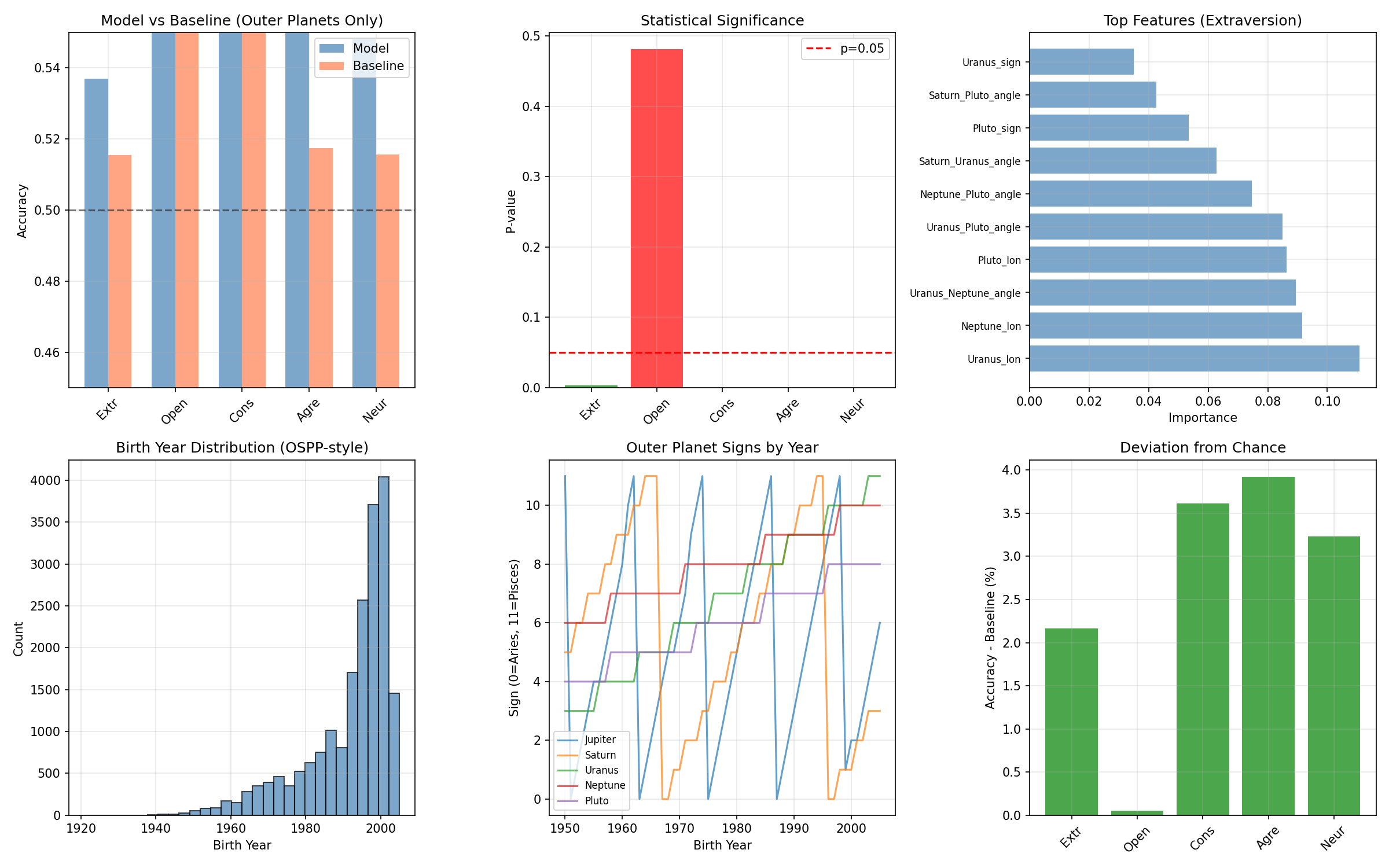
  • Machine Learning Classification
  • Machine Learning Feature Importance
  • analysis.py
  • BIG5_data.csv
  • analysis_results.csv
  • analysis_ml_profession.py
  • analysis_cyclic.py
  • analysis_cyclic_results.csv
  • check_saturn_dip.py
  • correlations.csv
  • age_cyclic_results.csv
  • age_controlled_results.csv
  • Project 8
  • Introduction to project 8
  • Results of project 8
  • precession_data.csv
  • analysis.py
  • analysis_results.csv
  • analysis_zodiac_test.py
  • analysis_zodiac_results.csv
  • analysis_zodiac_v2.py
  • analysis_zodiac_v3.py
  • Project 9
  • Introduction to project 9
  • Results of project 9
  • Solar Sentiment Analysis
  • analysis.py
  • merged_data.csv
  • analysis_results.csv
  • Project 10
  • Introduction to project 10
  • Results of project 10
  • Mars-Mars Distribution
  • Personal Heatmap
  • Top Factors
  • Age Artifact
  • fetch_couples_data.py
  • new_couples_wikidata.csv
  • analysis.py
  • analysis_results.csv
  • analysis_cosine.py
  • visualize_results.py
  • Project 11
  • Introduction to project 11
  • Results of project 11
  • celebrity_data.csv
  • analysis.py
  • analysis_results.csv
  • Project 12
  • Introduction to project 12
  • Results of project 12
  • Market Volatility Analysis
  • market_aspect_data.csv
  • analysis.py
  • analysis_results.csv
  • Project 13
  • Introduction to project 13
  • Results for project 13
  • celebrity_personality_data.csv
  • analysis.py
  • analysis_results.csv
  • Project 14
  • Introduction to project 14
  • Results of project 14
  • analysis.py
  • analysis_results.csv
  • Project 15
  • Introduction to project 15
  • Results of project 15
  • Famous birth orders
  • fetch_pantheon_siblings.py
  • extract_wls_data.py
  • birth_order_real_data.csv
  • inspect_cm.py
  • inspect_dta.py
  • inspect_pantheon.py
  • inspect_values.py
  • pantheon_analysis_results.csv
  • pantheon_with_birth_order.csv
  • person_2025_update.csv
  • analysis_pantheon.py
  • analysis.py
  • analysis_results.csv
  • Project 16
  • Introduction to project 16
  • Results of project 16
  • genius_data.csv
  • analysis.py
  • analysis_results.csv
  • Project 17
  • Introduction to project 17
  • Results of project 17
  • Event Transit Analysis
  • analysis.py
  • event_data.csv
  • analysis_results.csv
  • Project 18
  • Introduction to project 18
  • Results of project 18
  • Distribution Arts
  • Distribution Literature
  • Distribution Entertainment
  • Distribution Philosophy
  • Distribution Science
  • Distribution Sports
  • Distribution Politics
  • celebrity_data.py
  • analysis.py
  • analysis_results.csv
  • agreement_matrix.csv
  • Project 19
  • Introduction to project 19
  • Results of project 19
  • Mundane Analysis
  • Cyclic Index
  • Jupiter Saturn Cycle
  • Jupiter Neptune Cycle
  • Jupiter Uranus Cycle
  • Jupiter Pluto Cycle
  • Saturn Neptune Cycle
  • Saturn Uranus Cycle
  • Saturn Pluto Cycle
  • Uranus Neptune Cycle
  • Uranus Pluto Cycle
  • event_data.csv
  • event_cosine_data.csv
  • analysis.py
  • analysis_results.csv
  • Project 20
  • Introduction to project 20
  • Results of project 20
  • Tropical Fitness Landscape
  • Vedic Fitness Landscape
  • celebrity_data.py
  • celebrity_data.csv
  • Genetic Algorithm Rules Tropical
  • Genetic Algorithm Rules Vedic
  • remove_duplicates.py
  • visualize_ga_process.py
  • analysis.py
  • analysis_results_tropical_extended.csv
  • analysis_results_vedic_extended.csv
  • Project 21
  • Introduction to project 21
  • Results of project 21
  • MVI Distribution
  • 911 Distribution
  • Categorical Effect Size
  • Categorical Significance
  • analysis.py
  • analysis_results.csv
  • Project 22
  • Introduction to project 22
  • Results of project 22
  • Moon Sign Weather
  • Temperature Plot by Tithi
  • Precipitation Plot
  • analysis.py
  • analysis_results.csv
  • astro_data_generator.py
  • astro_weather_features.csv
  • element_precipitation_pivot_north.csv
  • element_precipitation_pivot_south.csv
  • element_precipitation_pivot.csv
  • full_analysis_results.csv
  • full_analysis_results_north.csv
  • full_analysis_results_south.csv
  • lunar_data.csv
  • lunar_days_table.py
  • precipitation_analysis.py
  • precipitation_by_tithi.csv
  • process_astro_data.py
  • select_stations.py
  • statistical_test.py
  • temperature_analysis.py
  • weather_data_full_checkpoint.csv
  • weather_data_full_North_checkpoint.csv
  • weather_data_full_South_checkpoint.csv
  • weather_data.csv
  • weather_with_astro_full.csv
  • Project 23
  • Introduction to project 23
  • Results of project 23
  • Archetype Heatmap Tropical Arts
  • Archetype Heatmap Tropical Entertainment
  • Archetype Heatmap Tropical Literature
  • Archetpe Heatmap Tropical Music
  • Archetype Heatmap Tropical Philosophy
  • Archetype Tropical Heatmap Politics
  • Archetype Heatmap Tropical Science
  • Archetype Heatmap Tropical Sports
  • Archetype Heatmap Tropical Tech
  • Archetype Heatmap Vedic Arts
  • Archetype Heatmap Vedic Entertainment
  • Archetype Heatmap Vedic Literature
  • Archetype Heatmap Vedic Music
  • Archetype Heatmap Vedic Philosophy
  • Archetype Heatmap Vedic Politics
  • Archetype Heatmap Vedic Science
  • Archetype Heatmap Vedic Sports
  • Archetype Heatmap Vedic Tech
  • Similarity Bar Chart
  • celebrity_data.py
  • analysis.py
  • analysis_results.csv
  • analysis_comparative_results.csv
  • Project 24
  • Introduction to project 24
  • Results of project 24
  • Astrological Factors Dashboard
  • Electional Analysis
  • Large Scale Electional Analysis
  • analysis.py
  • Project 25
  • Introduction to project 25
  • Results of project 25
  • Statistical Thinking
  • Star Orb Tightness
  • Fixed Stars Analysis
  • Heatmap Category Star
  • Heatmap Star Planet
  • celebrity_data.csv
  • detailed_conjunctions.csv
  • fixed_stars_data.csv
  • statistical_permutation_test.py
  • permutation_test_results.csv
  • visualize_results.py
  • detailed_conjunctions.csv
  • Project 26
  • Introduction to project 26
  • Results of project 26
  • Aspect Distributions
  • Regression Formula Coeefficients
  • Survival Curve Divorce
  • Survival Curve Widowhood
  • Survival Curve Total
  • Synastry Boxplot
  • Synastry Correlation Heatmap
  • Synastry Difference Heatmap
  • fetch_couples_data.py
  • find_best_formula.py
  • new_couples_wikidata.csv
  • visualize_compatibility.py
  • visualize_heatmap.py
  • visualize_kde.py
  • Project 27
  • Introduction to project 27
  • Results of project 27
  • Horary Analysis
  • generate_data.py
  • horary_data.csv
  • synthetic_horary_data.csv
  • analysis.py
  • analysis_results.csv
  • Project 28
  • Introduction to project 28
  • Results of project 28
  • Solar House Heatmap
  • Element Heatmap
  • solar_houses_processed.csv
  • data_source.py
  • analysis.py
  • Project 29
  • Introduction to project 29
  • Results of project 29
  • Asteroid Sign Distribution
  • Asteroid Sun Conjunctions
  • celebrity_data.csv
  • celebrity_data_with_asteroids.csv
  • celebrity_data_asteroids_tagged.csv
  • analysis.py
  • Project 30
  • Introduction to project 30
  • Results of project 30
  • Chinese Zodiac Heatmap
  • BIG5_data.csv
  • analysis.py
  • Project 31
  • Introduction to project 31
  • Results of project 31
  • Pair Significances
  • Outbreak Heatmap
  • analysis_data_full_century.csv
  • analysis_data_12body_cosine.csv
  • analsis_v1_aspects.py
  • analysis.py
  • Project 32
  • Introduction to project 32
  • Results of project 32
  • Accuracy by Category
  • Horizon vs Outcome
  • predictions_data.csv
  • analysis.py
  • Project 33
  • Introduction to project 33
  • Results of project 33
  • Total Chart Dignities
  • Total Chart Dignities in Vedic
  • Dignity Heatmap
  • Dignity Heatmap in Vedic
  • genius_data.csv
  • source_data.py
  • dignities_analyzed.py
  • analysis.py
  • analysis_vedic.py
  • dignities_analyzed_vedic.py
  • Project 34
  • Introduction to project 34
  • Results of project 34
  • Cosine Analysis
  • cosine_analysis.py
  • analysis_results.csv
  • analysis.py
  • Gratitude
  • Thank you
  • Next: Machine Learning Feature Importance